英国·威廉希尔(WilliamHill)集团有限公司-官方网站
集团首页
首页
集团首页
关于我们
英国威廉集团官网简介
机构设置
现任领导
团队队伍
现任教师
银龄教师
驻校作家
特聘教师
退休教师
教学工作
专业设置
培养方案
教学团队
课程建设
教学文件
科学研究
科研平台
科研管理
科研成果
党团天地
党建
团建
人才招聘
招生信息
就业信息
就业政策
员工园地
员工资助
员工社团
易班建设
学子风采
员工风采
员工名录
员工天地
下载专区
教师下载
员工下载
您现在的位置:
首页
>
人才招聘
>
招生信息
> 正文
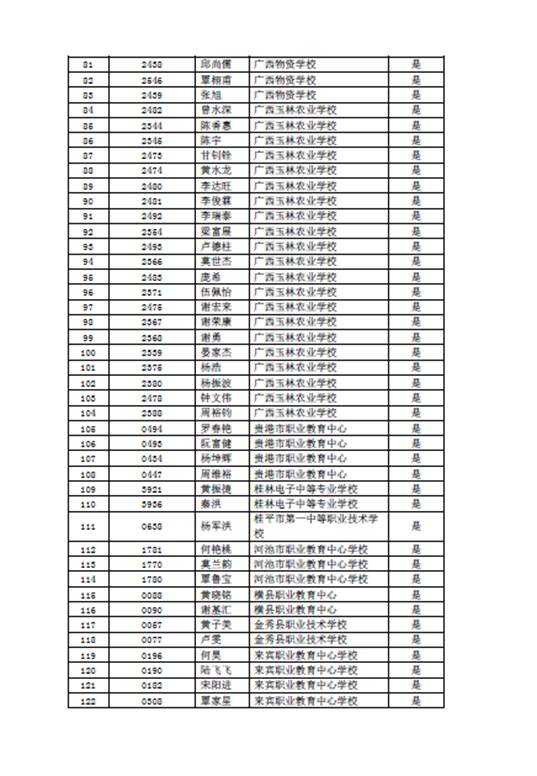
2019年广西中职对口升本免技能测试申请通过名单(英国威廉公司官网考点)
作者:
来源:英国威廉集团官网
时间:
2019-05-19
Copyright@校园信息化开发团队